Logotype

homeWork JavaScript

2 - Вступ до веб-програмування. Вступ до JS. Лінійні алгоритми.

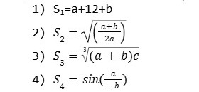
  • Завдання 00

    Обчислити значення виразів

    Formula
  • Завдання 01

    Знайти суму, добуток та частку двох дійсних чисел. Результат вивести у формі таблиці

  • Завдання 02

    Дано рік народження (дата: 1 січня) та поточний рік. Знайти кількість років.

  • Завдання 03

    Дано вартість одиниці товару і кількість. Знайти загальну вартість та ПДВ (5% від загальної вартості).

  • Завдання 04

    Дано довжину у сантиметрах. Визначати скільки це метрів і кілометрів.

  • Завдання 05

    Дано кількість секунд, що пройшла від початку доби. Визначити скільки це годин і хвилин.

  • Завдання 06

    З клавіатури вводяться вартість товару та кількість одиниць 3 товарів. Обчислити вартість кожного товару окремо та загальну вартість. Вивести чек (як у супермаркеті) використовуючи елементи розмітки.

  • Завдання 07

    Знайти суму випадкового номера місяця (від 1 до 12) та випадкового номера дня (від 0 до 6).